메뉴 바로가기
본문으로 바로가기
상단메뉴
로그인
조합원가입신청
메뉴
소개
학비노조는
학교비정규직노동자란?
위원장 인사말
규약/규정
조직도·연락처
걸어온 길
오시는 길
소식
공지사항
주요소식
성명·보도자료
월간소식 브리핑
언론에 비친 학비노조
지부소식
조합원게시판
자료실
정책자료
선전자료
교육자료
법률자료
상담
FAQ
1:1상담
교육
교육
검색, 전체 메뉴 버튼
검색
전체메뉴
검색
소식
학비노조의 소식을 알려드립니다.
로케이션 네비게이션
소식
소개
소식
자료실
상담
교육
공지사항
공지사항
주요소식
성명·보도자료
월간소식 브리핑
언론에 비친 학비노조
지부소식
조합원게시판
공지사항
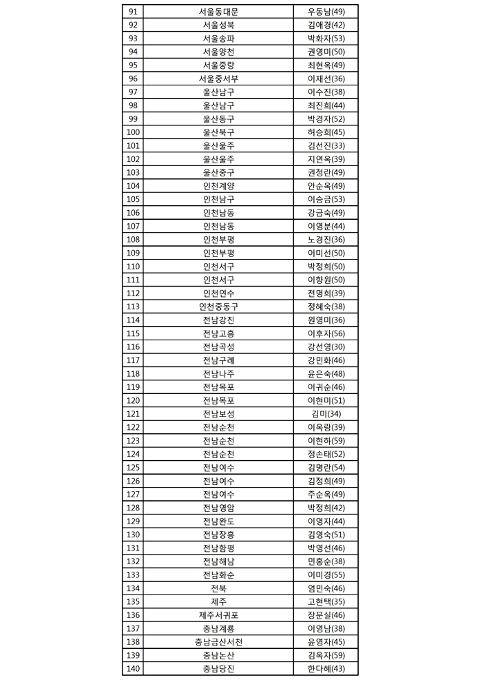
2기 전국동시선거 본부임원, 중앙위원, 전국대의원 입후보자 확정공고
학비노조
19075
2013-11-21 01:37:15
공유하기
공유하기
트위터
카카오
페이스북
URL
.
이전글
교육부 3차 직종교섭 결과보고
2013.11.25
다음글
전북교육청 전문상담사 116명, 스포츠강사 210명 대량학살 중단하라!
2013.11.20
목록보기
탑버튼
홈
로그인
조합원
가입신청
온라인
교육
1:1상담
학교
비정규직
연대의 노래
ALL MENU
닫기
로그인
조합원 회원가입
닫기